鋰電池烘烤過程水分變化,是電池生產廠家一個很重要的研究過程,電池水分的多少,直接影響電池的質量。下面,由“環儀儀器”小編,為大家講解一下此變化過程。
電池在真空烤箱的試驗變化過程:
試驗使用設備:環儀儀器 電池真空烤箱
試驗產品:鋰電池電芯

研究分析:
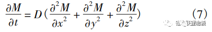
水份的蒸發過程中,濃度梯度的作用效果對干燥的影響不僅只發生在表面,對內部依然具有相同影響。針對電芯的水分蒸發擴散過程可以參照菲克定律來計算:

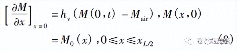
式中: D為電芯內部的水分有效擴散系數,其中同時包含了水分與水蒸汽擴散。由于電芯水分含量微乎其微,烘烤過程中的溫度也不會造成電芯的屬性變化,所以水分烘干過程中電芯材料的壓縮量與物理化學變化完全可以忽略。設定邊界條件為:

式中,Mair與M0分別為初始狀況下烘烤箱內部與電芯中的水分含量;hv為電芯內部的水分傳至烤箱環境中的傳遞系數。
通過計算,在電芯烘烤過程中的電芯3個不同部位的含水量結果,如下圖所示,假設電芯在烘烤之前,各個橫縱截面含水量一致。

通過烘烤發現,在烘烤開始時,電芯表面水分蒸發速率便很快,之后含水量慢慢減少趨于平緩,電芯中間部分在烘烤開始20 min左右蒸發速度達到最大值,而電芯底部在烘烤開始時水分蒸發并不明顯,在烘烤50 min左右水分含量降低最為明顯。








