液壓軟管總成一般由內管、增強層、接頭等組成,由于受到液壓沖擊、工作環境溫度、油液壓力、載荷彎曲與扭轉等多場應力的綜合影響,液壓軟管總成會出現泄漏、拔脫、斷絲、 爆破等故障/失效模式,因此在設計過程中需要進行可靠性試驗,下面對軟管總成的爆破試驗做試驗設計講解。
試驗設備:環儀儀器 軟管總成耐壓爆破試驗系統
試驗依據:GB/T 7939.3-2023 液壓傳動連接 試驗方法 第3部分:軟管總成
耐壓爆破試驗設計:
選擇一批通徑為10 mm、長度為805 mm、最大工作壓力為28 MPa的聚四氟乙烯軟管總成進行耐壓爆破試驗,試驗要求見下表。
1.耐壓試驗。在設定的保壓時間60 s內,5根聚四氟乙烯軟管總成均未出現泄漏等故障現象, 耐壓性達到了設計要求。
2.爆破試驗。12根聚四氟乙烯軟管總成的爆破壓力分別為: 104、106、113、121、124、132、138、 143、145、159、166、178 MPa。
耐壓爆破試驗可靠性評估:
對該組爆破試驗數據進行擬合優度檢驗和分布鑒別,求得該組數據服從威布爾分布。對兩參數威布爾分布作點估計,采用適用完全樣本的最佳線性不變 估計 ( best linear invariant estimate, BLIE) 法對上述聚四氟乙烯軟管總成的爆破性能進行可靠性評估。
先將W( m,η) 變換為極值分布,記為EV( μ, σ) ,即若T服從W( m,η) 分布,則X = ln T服從EV( μ,σ) 分布的參數的BLIEμ*、σ*分別為
η 的 BLIE 為
m的無偏估計為
其中,DI( n,r,j),CI( n,r,j) 為權數,gr,n是修偏系數。
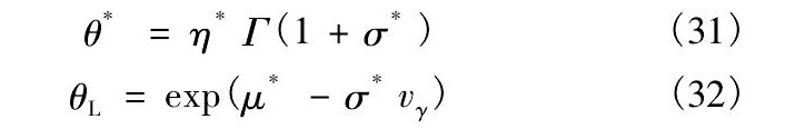
(1) 平均壽命的點估計與置信下限分別為
由式(31) 求得平均 壽命的點 估計 θ*為136. 621 MPa; 置信度為0. 9時,威布爾截尾樣本區間估計系數vγ= 0. 47,由式(32) 得,平均壽命 θ 的置信下限 θL為136. 302 MPa。
(2) 可靠壽命的點估計與置信下限分別為
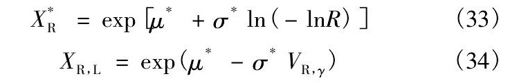
當n = 12,R = 0. 95(給定可靠度),1 - α = 0. 9時,由式(33) 得,可靠壽命XR的點估計X*R為91. 195 MPa。
當 n = 12,r = 12,1 - α = 0. 9,R = 0. 95 時,VR,γ= 4. 68,則由式(34) 得,可靠壽命XR在置信度為1 - α = 0. 9下的置信下限XR,L為69. 281 MPa。
(3) 可靠度的點估計為
對給定的爆破壓力X = 80 MPa,由式( 35) 得可靠度點估計R*( X) 為0. 978。
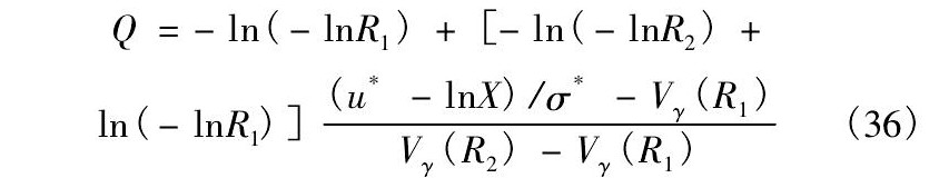
由 n = 12,r = 12,1 - α = 0. 9,得( μ*ln X) / σ*= 3. 785; 然后,對給定的n、r、γ,通過反查Vγ( R) - R表,找到包含( μ*- ln X) / σ*的最短區間[Vγ( R1) ,Vγ( R2) ]及相應的R1、R2,并計算出 - ln( - lnR1) 、- ln( - lnR2),填入下表。則有
則有
可靠度的置信下限為
由式( 36) 、式( 37) 可求得Q = 2. 362,可靠度置信下限RL( X) = 0. 910。
由以上分析可知:上述聚四氟乙烯軟管總成的平均爆破壓力為136. 621 MPa,在置信度為0. 9下的置信下限 為136. 302 MPa;
給定可靠 度為0. 95時,其可靠壽命的點估計為91. 195 MPa、置信下限為69. 281 MPa;
給定壓力80 MPa時,其可靠度的點估計為0. 978,置信下限為0. 910。
以上就是軟管總成的爆破可靠性試驗設計,如有試驗疑問,可以咨詢環儀儀器相關技術人員。



















