近年來,隨著人民生活質量的提高,室內裝飾裝修材料用量大幅增加,室內空氣中 TVOC 濃度也隨之升高,TVOC 是室內空氣的主要污染物,由于易溶于油脂,很容易被肺部吸收危害人體健康。
在TVOC的試驗過程中,主要用到多艙法TVOC排放艙,下面,我們來看看相關的試驗過程以及tvoc的計算。
試驗設備:環儀儀器 多艙法TVOC排放艙
設備條件:
艙內空氣溫度(23±1) ℃、艙內空氣相對濕度 50% ±5%、空氣交換率(0.5±0.01) 次/h,被測樣品表面附近空氣流速 0.1~0.3 m/s;
艙漏風量小于空氣供應量的 5%;
TVOC 本底濃度不大于 50μg/m3,評價中目標單一污染物本底濃度不大于 5μg/m3;
甲苯和正十二烷的平均回收率不小于 80%。
測定時間
以試件放入艙體時刻計為 0 時刻,測定時間初定為第(24±1)h、第(72±1)h、第(168±1)h。
試驗結果計算:
1.線性回歸方程的計算:
根據標準樣品吸附管中各有機化合物的質量及相應色譜峰的面積,通過最小二乘法擬合得到線性回歸方程,如下公式,其線性相關系數應大于0.995。
Ai—樣品吸附管中組分 i 的色譜峰面積;
ki—組分 i 的線性回歸方程的斜率;
mi—樣品吸附管中組分 i 的質量,mg;
bi—組分 i 的線性回歸方程在Y 軸上的截距,截距 bi 應盡可能小。
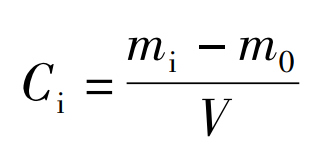
2.空氣樣品中各組分釋放量:
所采空氣樣品中各組分的釋放量按一下公式計算。
式中:
Ci—所采空氣樣品中 i 組分的釋放量,mg/m3;
mi—樣品吸附管中組分 i 的質量,mg;
m0—空白采樣管中組分 i 的質量,mg;
V—空氣采樣體積,L。
3.空氣樣品中各組分標準狀態下釋放量換算:
所采空氣樣品中各組分的釋放量按以下公式換算成標準狀態下的釋放量。
式中:
Cc—標準狀態下所采空氣樣品中 i 組分的釋放量,mg/m3;
P—采樣時采樣點的大氣壓力,kPa;
t—采樣時采樣點的溫度,℃。
4.TVOC 釋放量
所采空氣樣品中 TVOC 的釋放量按以下公式計算。
式中:
CTVOC—標準狀態下所采空氣樣品中 TVOC釋放量,mg/m3。CTVOC 應取 2 次測試結果的平均值,其相對偏差應小于 5% ,否則應重新進行試驗,結果保留至小數點后 1 位。
如有多艙法TVOC排放艙的試驗疑問,可以咨詢環儀儀器相關技術人員。














