在使用4艙60L甲醛voc檢測艙做甲醛voc釋放量的檢測過程中,需要配合多種儀器設備來進行試驗,不同儀器的使用參數不同,下面,我們來看看試驗過程中各個設備的使用條件。
試驗設備:環儀儀器 4艙60L甲醛voc檢測艙
設備條件:
溫度:(23±1)℃;
相對濕度:50%±5%;
空氣交換率:(0.5±0.01)次/h;
空氣流速:(0.2±0.1)m/s;
艙背景濃度為:艙內TVOC背景濃度不大于20μg/m3,其他單一VOC背景濃度不大于2μg/m3
儀器條件:
1.GC-MS條件
程序升溫程序:50℃(5min),以5℃/min升溫至250℃,保持10min;
進樣口溫度:300C;
進樣方式:分流,分流比30:1;
載氣:氦氣.EI源,電離能量為70eV,離子源溫度:230℃;
接口溫度:300℃;
采集方式:全掃描,40~350 m/z。
2.熱解吸儀條件
解析溫度:280℃;
解析時間:5min;
冷阱高溫:320℃;
冷阱低溫:40℃;
冷阱吸附劑:Tanax-TA;
傳輸線溫度:300 ℃。
試驗結果計算:
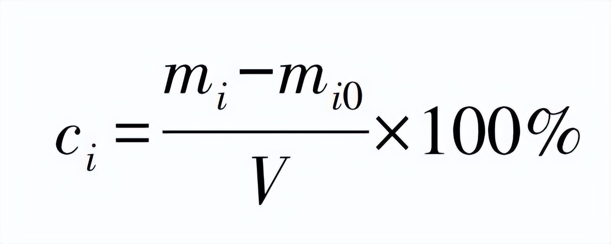
1.所采空氣樣品中有害物質濃度(ci) 按下式計算:
式中,
mi樣品吸附管中 i 組分的含量(μg);
mi0空白吸附管中 i 組分的含量(μg);
V 采樣體積(L)。
2.所采空氣樣品中各組分有害物質濃度按下式換算成標準狀態下的濃度(csi):
式中,
ci所采空氣樣品中 i 組分的濃度(μg/m3);
P 采樣時采樣點的大氣壓力(kPa);
t采樣點的溫度(℃)。
3.總揮發性有機化合物(TVOC) 的濃度(cTVOC) 按下式計算:
4.有害物質 i 的釋放量(EF) 按下式計算:
式中,
N 艙空氣交換率(次/h) ;
L 材料/艙載荷比(m2/m3)。
以上就是4艙60L甲醛voc檢測艙的測試條件,如有試驗疑問,可以咨詢環儀儀器相關技術人員。















