在做甲醛釋放量試驗的過程中,涉及到一個重要的參數,就是承載率。所謂承載率是指家具暴露的表面積和艙內固定的容積之比,單位為m2/m3。承載率越大,相同空間內的空氣中的甲醛濃度就越高。
所以,承載率會影響試驗結果。下面,我們來看看在做甲醛釋放量測試過程中,是怎么計算承載率的。
試驗設備:環儀儀器 甲醛揮發量排放艙
計算依據:GB/T 17657
計算公式推導:
在一個密閉氣候箱內,若空氣置換率為 N(次/h),氣候箱的容積為 V(m3),飾面刨花板承載率為 L(m2/m3,甲醛初始濃度為 C0(mg/m3),已知時間為 t(h),飾面刨花板釋放甲醛的速率為δ(mg/h·㎡)恒定,求t時刻氣候箱內甲醛濃度C(mg/m3)。
按照 GB/T 17657中1 m3氣候箱法測試甲醛釋放量的規定,其測試的甲醛釋放量為單位面積飾面刨花板在單位容積空間中1小時內釋放的甲醛質量,其量綱為mg/(h·m2·m3)。為了計算甲醛濃度,假設在一個極小的時間間隔dt,并假設在這段時間內飾面刨花板釋放的甲醛總量為L·V·δ·dt(mg)。
由于時間間隔dt 極小,可認為氣候箱內的甲醛濃度在這段時間內保持不變。 由于空氣置換率N已知,則在時間間隔dt內,進入氣候箱的氣體體積等于從氣候箱出去的氣體體積,即V*N*dt。
基于以上假設,可以建立甲醛濃度的動態變化模型。在極小時間間隔dt內,氣候箱內甲醛質量見以下公式。
整理后,解關于甲醛濃度C和時間t的一階常微分方程,根據分離變量法求解,兩邊同時求不定積分。
代入公式:ln|Lδ-NC|= -Nt+k得
化簡得:
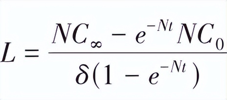
而對于已知空氣中甲醛濃度限值C∞,求此時的承載限量L,其公式如下:
式中,
L——飾面刨花板承載限量,m2/m3;
N——空氣置換率,次/h;
t——測試時間,此處設定為1 h;
V——室內空間容積,m3;
C∞——達到極限時的室內空氣中甲醛濃度,空氣極限濃度可根據需要自行設定;
C0——空房間室內空氣中甲醛本底濃度,mg/m3;
δ——飾面刨花板甲醛釋放率,mg/(m2·h)。
以上就是甲醛揮發量排放艙的承載率計算,如有甲醛釋放量試驗疑問,可以咨詢環儀儀器相關技術人員。














